MySarkariNaukri

Gujarat State Electricity Corporation Limited (GSECL) Invites Application for 40 Vidyut Sahayak Recruitment 2023

Gujarat State Electricity Corporation Limited (GSECL) Invites Application for 40 Vidyut Sahayak Recruitment 2023

Total Pages: 11

Any Doubt? Just Ask Questions

Gujarat State Electricity Corporation Limited (GSECL) Invites Application for 40 Vidyut Sahayak Recruitment 2023 - Page 1
Gujarat State Electricity Corporation Limited (GSECL) Invites Application for 40 Vidyut Sahayak Recruitment 2023 - Page 2
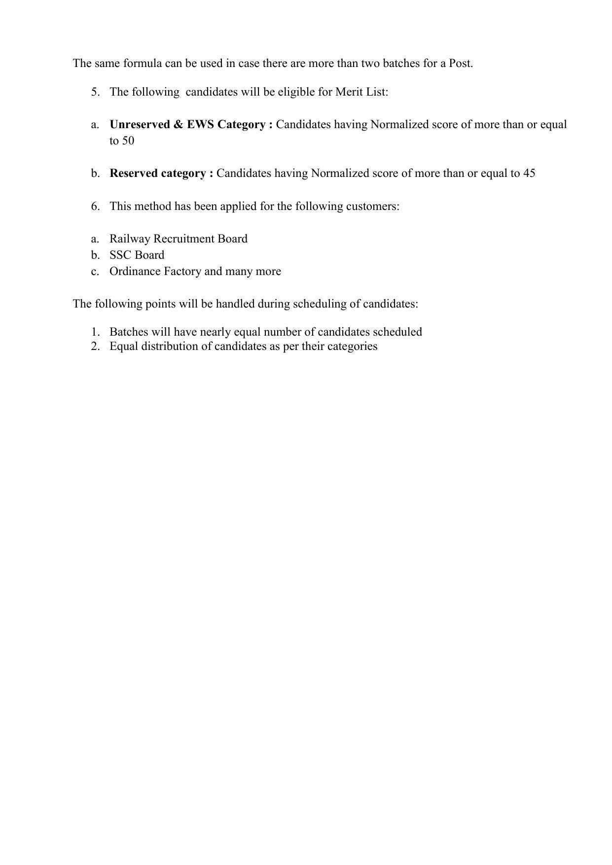
Gujarat State Electricity Corporation Limited (GSECL) Invites Application for 40 Vidyut Sahayak Recruitment 2023 - Page 3
Gujarat State Electricity Corporation Limited (GSECL) Invites Application for 40 Vidyut Sahayak Recruitment 2023 - Page 4
Gujarat State Electricity Corporation Limited (GSECL) Invites Application for 40 Vidyut Sahayak Recruitment 2023 - Page 5
Gujarat State Electricity Corporation Limited (GSECL) Invites Application for 40 Vidyut Sahayak Recruitment 2023 - Page 6
Gujarat State Electricity Corporation Limited (GSECL) Invites Application for 40 Vidyut Sahayak Recruitment 2023 - Page 7
Gujarat State Electricity Corporation Limited (GSECL) Invites Application for 40 Vidyut Sahayak Recruitment 2023 - Page 8
Gujarat State Electricity Corporation Limited (GSECL) Invites Application for 40 Vidyut Sahayak Recruitment 2023 - Page 9
Gujarat State Electricity Corporation Limited (GSECL) Invites Application for 40 Vidyut Sahayak Recruitment 2023 - Page 10
Gujarat State Electricity Corporation Limited (GSECL) Invites Application for 40 Vidyut Sahayak Recruitment 2023 - Page 11