Sri Krishnadevaraya University Invites Application for Lady Medical Officer Recruitment 2023

87
24 Jan, 2023
4 Pages
Sri Krishnadevaraya University Invites Application for Lady Medical Officer Recruitment 2023
Total Pages: 4
Sri Krishnadevaraya University Invites Application for Lady Medical Officer Recruitment 2023 - Page 1
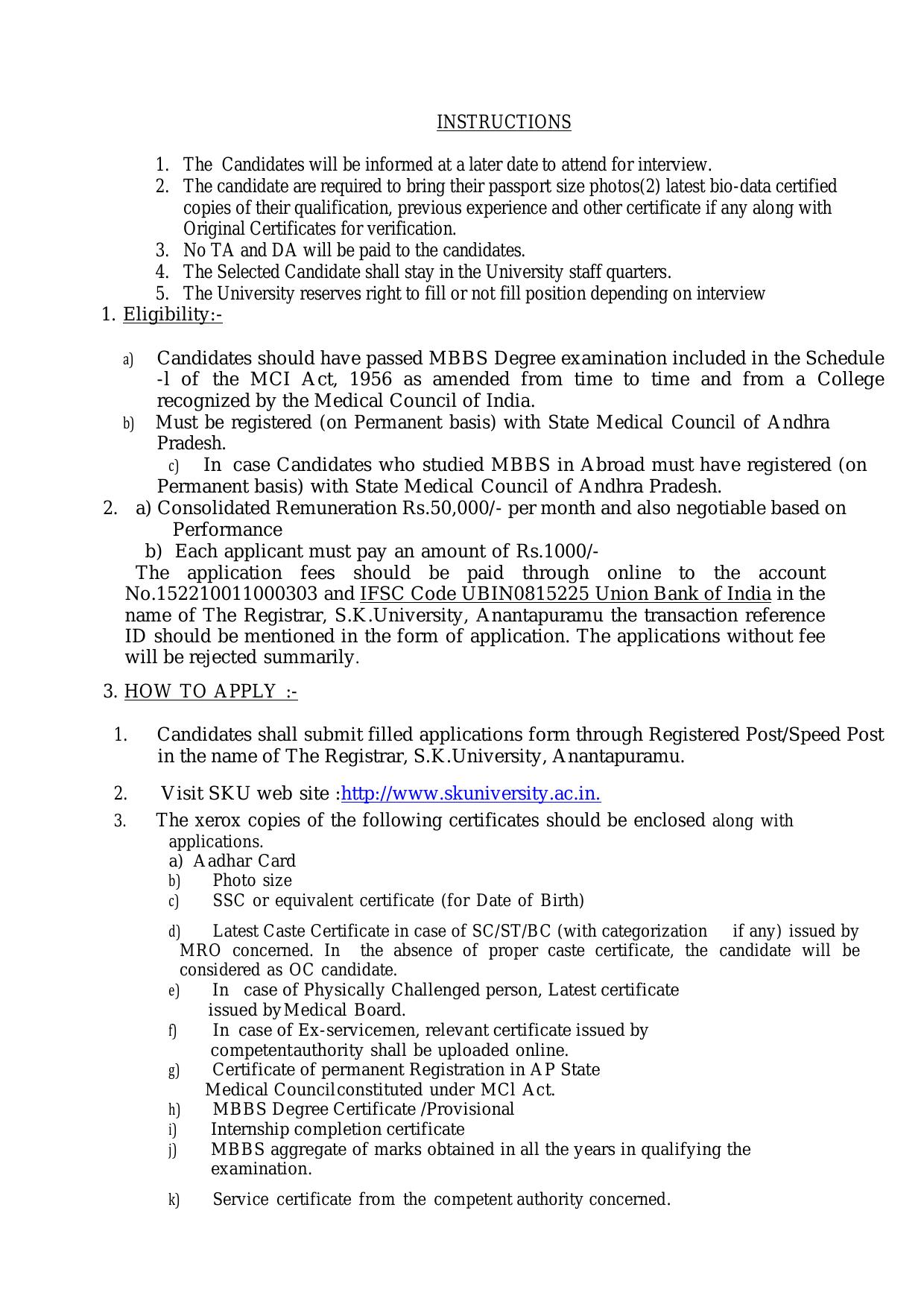
Sri Krishnadevaraya University Invites Application for Lady Medical Officer Recruitment 2023 - Page 2
Sri Krishnadevaraya University Invites Application for Lady Medical Officer Recruitment 2023 - Page 3
Sri Krishnadevaraya University Invites Application for Lady Medical Officer Recruitment 2023 - Page 4