MySarkariNaukri

VCRC Technical Assistant Computer Science Previous Papers

VCRC Recruitment
https://www.mysarkarinaukri.com/en/vcrc/

Total Pages: 13

Any Doubt? Just Ask Questions

VCRC Technical Assistant Computer Science Previous Papers - Page 1
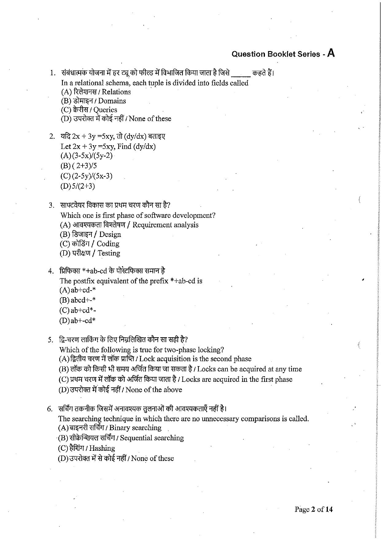
VCRC Technical Assistant Computer Science Previous Papers - Page 2
VCRC Technical Assistant Computer Science Previous Papers - Page 3
VCRC Technical Assistant Computer Science Previous Papers - Page 4
VCRC Technical Assistant Computer Science Previous Papers - Page 5
VCRC Technical Assistant Computer Science Previous Papers - Page 6
VCRC Technical Assistant Computer Science Previous Papers - Page 7
VCRC Technical Assistant Computer Science Previous Papers - Page 8
VCRC Technical Assistant Computer Science Previous Papers - Page 9
VCRC Technical Assistant Computer Science Previous Papers - Page 10
VCRC Technical Assistant Computer Science Previous Papers - Page 11
VCRC Technical Assistant Computer Science Previous Papers - Page 12
VCRC Technical Assistant Computer Science Previous Papers - Page 13