Central Railway Invites Application for Clerk and Ticket Clerk, More Vacancies Recruitment 2022

50
29 Oct, 2022
9 Pages
jobs
Central Railway Invites Application for Clerk and Ticket Clerk, More Vacancies Recruitment 2022
Total Pages: 9
Central Railway Invites Application for Clerk and Ticket Clerk, More Vacancies Recruitment 2022 - Page 1
Central Railway Invites Application for Clerk and Ticket Clerk, More Vacancies Recruitment 2022 - Page 2
Central Railway Invites Application for Clerk and Ticket Clerk, More Vacancies Recruitment 2022 - Page 3
Central Railway Invites Application for Clerk and Ticket Clerk, More Vacancies Recruitment 2022 - Page 4
Central Railway Invites Application for Clerk and Ticket Clerk, More Vacancies Recruitment 2022 - Page 5
Central Railway Invites Application for Clerk and Ticket Clerk, More Vacancies Recruitment 2022 - Page 6
Central Railway Invites Application for Clerk and Ticket Clerk, More Vacancies Recruitment 2022 - Page 7
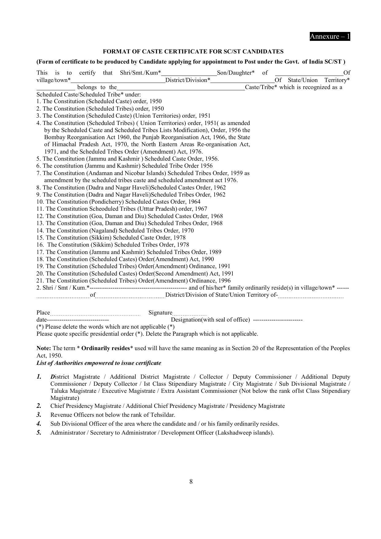
Central Railway Invites Application for Clerk and Ticket Clerk, More Vacancies Recruitment 2022 - Page 8
Central Railway Invites Application for Clerk and Ticket Clerk, More Vacancies Recruitment 2022 - Page 9