MySarkariNaukri

Central Coalfields Limited (CCL) Junior Attendant / Junior Bearer Recruitment 2023

Central Coalfields Limited (CCL) Junior Attendant / Junior Bearer Recruitment 2023

Total Pages: 11

Any Doubt? Just Ask Questions

Central Coalfields Limited (CCL) Junior Attendant / Junior Bearer Recruitment 2023 - Page 1
Central Coalfields Limited (CCL) Junior Attendant / Junior Bearer Recruitment 2023 - Page 2
Central Coalfields Limited (CCL) Junior Attendant / Junior Bearer Recruitment 2023 - Page 3
Central Coalfields Limited (CCL) Junior Attendant / Junior Bearer Recruitment 2023 - Page 4
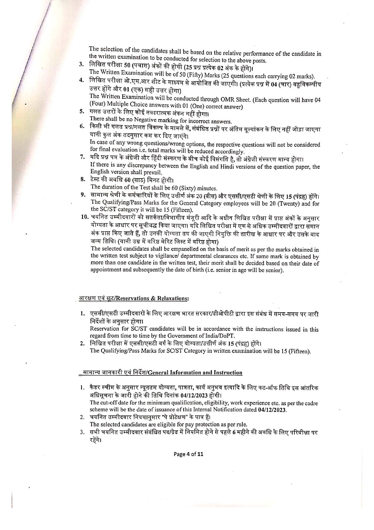
Central Coalfields Limited (CCL) Junior Attendant / Junior Bearer Recruitment 2023 - Page 5
Central Coalfields Limited (CCL) Junior Attendant / Junior Bearer Recruitment 2023 - Page 6
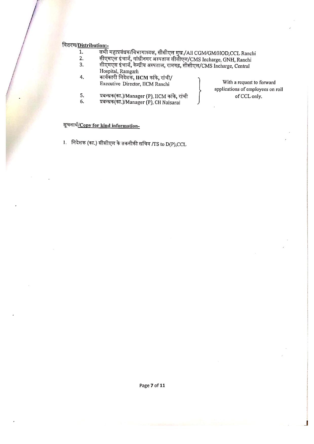
Central Coalfields Limited (CCL) Junior Attendant / Junior Bearer Recruitment 2023 - Page 7
Central Coalfields Limited (CCL) Junior Attendant / Junior Bearer Recruitment 2023 - Page 8
Central Coalfields Limited (CCL) Junior Attendant / Junior Bearer Recruitment 2023 - Page 9
Central Coalfields Limited (CCL) Junior Attendant / Junior Bearer Recruitment 2023 - Page 10
Central Coalfields Limited (CCL) Junior Attendant / Junior Bearer Recruitment 2023 - Page 11